Closet Pilot
Fashion
Closet Pilot
A smart wardrobe app that eliminates decision fatigue with personalized, low-effort outfit suggestions.
My Role
Designer, Researcher, Presenter
Tools
Figma, FigJam, Miro,
Timeline
1 Semester
Team
Marcus, Silvia, Niaz
Project Overview
Closet Pilot is a mobile app designed to help fashion-conscious users make confident outfit decisions with minimal effort. The app provides personalized, context-aware outfit recommendations based on what users already own, helping them reduce decision fatigue and improve outfit variety in their daily lives.
Problem
Fashion-conscious users often feel overwhelmed when choosing outfits, especially during busy mornings, changing weather, or special events. Users forget what’s in their wardrobe, repeat the same outfits, and rely on mental tracking rather than effective tools. Existing wardrobe apps tend to require too much setup, configuration, or maintenance, creating friction instead of relief.
Solution
Closet Pilot delivers smart, low-effort outfit suggestions that adapt to users automatically. By surfacing underused clothing items and factoring in weather, events, and personal style patterns, the app reduces cognitive load without demanding complex setup. The final experience prioritizes clarity, speed, and personalization helping users dress with confidence while fitting seamlessly into their everyday routines.
My Role
I contributed across both research and design phases, helping translate qualitative insights into actionable product decisions. My work focused on uncovering real-world outfit decision behaviors and designing a low-effort experience that fits naturally into daily routines.
Key contributions
Conducted and coded semi-structured user interviews
Synthesized insights around decision fatigue, mental tracking, and context
Designed core user flows and mid-fidelity wireframes
Created the final Figma prototype and presentation narrative
Iterated designs based on usability testing findings



Research & Discovery
Methods
Secondary research and competitive analysis (Whering, Fits, MyIndyx)
8 semi-structured user interviews
Thematic analysis and problem mapping
Key Insights
Out of sight, out of mind
Users forget clothing they own, leading to repeated outfits.Decision fatigue is real
Stress peaks when time-pressured or dressing for events.Make it personal without making me work
Users want tailored suggestions but avoid configuration-heavy tools.
These insights shaped every major design decision that followed.


Design Process
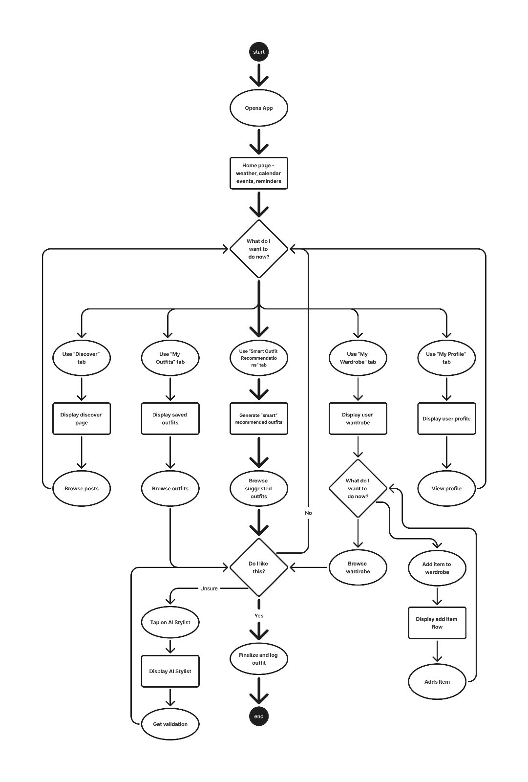
From Sketches to Structure
Early ideation explored multiple ways to surface recommendations without overwhelming users. Task flows and storyboards helped us simplify the morning decision journey.
Wireframing & Iteration
Mid-fidelity wireframes clarified hierarchy, navigation, and interaction patterns before moving into prototyping.


Usability Testing & Iteration
We tested the prototype with users to validate clarity and discover friction.
What we learned
Smart suggestions needed clearer hierarchy
Customization features weren’t discoverable
Users tapped non-interactive elements expecting action
These findings directly informed layout adjustments, interaction affordances, and clearer visual prioritization.


Final Outcome
The final design is a personalized, low-effort outfit recommendation experience that:
Reduces decision fatigue
Improves outfit variety
Fits naturally into users’ daily routines
Closet Pilot reframes wardrobe management from a chore into a supportive, confidence-building experience.

Reflection
This project reinforced the importance of grounding design decisions in real user behavior, not assumptions. If revisiting this project, I would test automation and personalization concepts earlier to validate trust and adoption sooner. Overall, the experience strengthened my ability to move from research insight to product direction, this will be a critical skill in my growth as a UX designer.



